Research reveals that current U.S. diets, including dairy and American cuisine, are at risk of involving forced labor, highlighting the need for ethical consideration in nutrition.
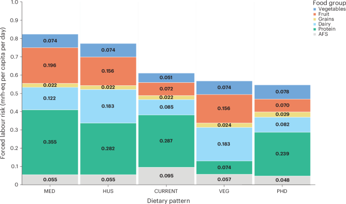
- A study by Tufts University and the University of Nottingham found a significant correlation between U.S. food intake and forced labor risks in food commodities.
- Despite the focus on human and planetary health, the research indicates that workers in food value chains are often overlooked, raising ethical concerns in dietary recommendations.
- The analysis combines nationally representative food intake data with forced labor risk data, emphasizing the need for a more holistic approach to healthy diets that includes labor rights.
Why It Matters
This research underscores the critical intersection of nutrition and workers rights, urging consumers and policymakers to consider the ethical implications of food choices, thereby promoting a more sustainable and just food system.